Trang chủ Vật Lý Lớp 11 Bài 8: Đồ thị dưới đây biểu diễn x=Acos(ot a....

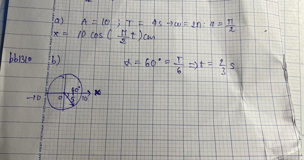
Bài 8: Đồ thị dưới đây biểu diễn x=Acos(ot a. Phương trình dao động của vật? b. Tìm thời gian vật chuyển động qua vị trí 5cm theo chiều dương kể từ thời đi

Câu hỏi :

Giúp e câu này với ạ. E cảm ơn

image

Bài 8: Đồ thị dưới đây biểu diễn x=Acos(ot a. Phương trình dao động của vật? b. Tìm thời gian vật chuyển động qua vị trí 5cm theo chiều dương kể từ thời đi

Lời giải 1 :

Đáp án:

 

Giải thích các bước giải:

 

image

Bạn có biết?

Vật lý học là môn khoa học tự nhiên tập trung vào sự nghiên cứu vật chất và chuyển động của nó trong không gian và thời gian, cùng với những khái niệm liên quan như năng lượng và lực. Vật lý học là một trong những bộ môn khoa học lâu đời nhất, với mục đích tìm hiểu sự vận động của vũ trụ. Hãy khám phá và hiểu rõ những quy luật tự nhiên xung quanh chúng ta!

Nguồn :

Wikipedia - Bách khoa toàn thư

Tâm sự lớp 11

Lớp 11 - Năm thứ hai ở cấp trung học phổ thông, gần đến năm cuối cấp nên học tập là nhiệm vụ quan trọng nhất. Nghe nhiều đến định hướng tương lai và học đại học có thể gây hoang mang, nhưng hãy tự tin và tìm dần điều mà mình muốn là trong tương lai!

Nguồn :

sưu tập

Liên hệ hợp tác hoặc quảng cáo: gmail

Điều khoản dịch vụ

Copyright © 2021 HOCTAPSGK