Giải bài 75 trang 40 - Sách giáo khoa Toán 9 tập 1

Lý thuyết Bài tập

Tóm tắt bài

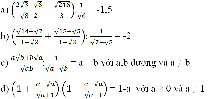
Đề bài

Chứng minh các đẳng thức sau: 

Để học tốt Toán 9 | Giải bài tập Toán 9

Hướng dẫn giải

     Hướng dẫn:

  Tìm thừa số chung ở tử và mẫu để đơn giản mỗi phân thức.

    Giải: 

 a) Ta có: 

  VT= \( ( \frac{2\sqrt{3}-\sqrt{6} }{\sqrt{8}-2}- \frac{\sqrt{216}}{3}) \frac{1}{\sqrt{6} }= ( \frac{\sqrt{6}}{2}- 2\sqrt{6 )} = -\frac{3}{2}.\sqrt{6}: \sqrt{6}=- 1,5 =VP\)

 b) \(( \frac{\sqrt{14}-\sqrt{7}}{1-\sqrt{2}}+ \frac{\sqrt{15}-\sqrt{5}}{1-\sqrt{3}}): \frac{1}{\sqrt{7}-\sqrt{5}}\) =  \(( \frac{\sqrt{7}(\sqrt{2}-1)}{-(\sqrt{2}-1)}+ \frac{\sqrt{5}(\sqrt{3}-1)}{-(\sqrt{3}-1)}).(\sqrt{7}-\sqrt{5})\)=

  = \( (-\sqrt{7}-\sqrt{5})(\sqrt{7}- \sqrt{5})= - ( \sqrt{7}+\sqrt{5})(\sqrt{7}-\sqrt{5})=-2=VP\)

 c)  \(\frac{a\sqrt{b}+ b\sqrt{a}}{\sqrt{ab}}: \frac{1}{\sqrt{a}-\sqrt{b}}=\frac{\sqrt{ab}(\sqrt{a}+\sqrt{b})}{\sqrt{ab}}.\sqrt{a}-\sqrt{b} \)=  \((\sqrt{a}+\sqrt{b})(\sqrt{a}-\sqrt{b})= a-b\)= VP

 d)   Với ( \(a \ge 0, a \neq 1)\)\((1+ \frac{a+ \sqrt{a}}{\sqrt{a}+1}) (1- \frac{a- \sqrt{a}}{\sqrt{a}-1}) = (1+ \frac{\sqrt{a}(\sqrt{a}+1)}{\sqrt{a}+1})(1- \frac{\sqrt{a}(\sqrt{a}-1)}{\sqrt{a}-1})= ( 1+ \sqrt{a})(1-\sqrt{a})= 1- a\)

Bạn có biết?

Toán học là ngành nghiên cứu trừu tượng về những chủ đề như: lượng (các con số), cấu trúc, không gian, và sự thay đổi.Các nhà toán học và triết học có nhiều quan điểm khác nhau về định nghĩa và phạm vi của toán học

Nguồn : Wikipedia - Bách khoa toàn thư

Tâm sự Lớp 9

Lớp 9 - Là năm cuối ở cấp trung học cơ sở, sắp phải bước vào một kì thi căng thẳng và sắp chia tay bạn bè, thầy cô và cả kì vọng của phụ huynh ngày càng lớn mang tên "Lên cấp 3". Thật là áp lực nhưng các em hãy cứ tự tin vào bản thân là sẻ vượt qua nhé!

Nguồn : ADMIN :))

Liên hệ hợp tác hoặc quảng cáo: gmail

Điều khoản dịch vụ

Copyright © 2021 HOCTAPSGK