Trang chủ Lớp 7 Toán Lớp 7 SGK Cũ Ôn tập cuối năm - Đại số Giải bài 10 trang 90 - Sách giáo khoa Toán 7 tập 2

Giải bài 10 trang 90 - Sách giáo khoa Toán 7 tập 2

Lý thuyết Bài tập

Tóm tắt bài

Đề bài

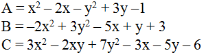
Cho các đa thức:

Giải bài 10 trang 90 SGK Toán 7 Tập 2 | Giải toán lớp 7

Tính:

a) A + B - C;     b) A - B + C;     c) -A + B + C.

Hướng dẫn giải

a) \(A + B – C = (x^2 – 2x – y^2 + 3y – 1 ) + ( -2x^2 + 3y^2 – 5x + y + 3) - ( 3x^2 – 2xy + 7y^2 – 3x – 5y – 6 ) \)

                 \(= x^2 – 2x – y^2 + 3y – 1 -2x^2 + 3y^2 – 5x + y + 3 - 3x^2 + 2xy - 7y^2 + 3x + 5y + 6 \)

\(= ( x^2-2x^2 - 3x^2 )+ ( – 2x – 5x + 3x) + ( – y^2 + 3y^2 - 7y^2 ) + ( 3y + y + 5y) + (– 1 + 3 + 6 ) + 2xy \)\(= -4x^2 + -4x – 5y^2 + 9y +8 + 2xy \)

b) 

\( A – B + C = (x^2 – 2x – y^2 + 3y – 1 ) - ( -2x^2 + 3y^2 – 5x + y + 3) + ( 3x^2 – 2xy + 7y^2 – 3x – 5y – 6 ) \)

                 \(= x^2 – 2x – y^2 + 3y – 1 + 2x^2 - 3y^2 + 5x - y - 3 + 3x^2 – 2xy + 7y^2 – 3x – 5y – 6 \)

                  \(= 6x^2 + 3y^2 -3y -10 -2xy \)
                   \(= 6x^2- 2xy + 3 y^2 - 3y -10.\)

c) \(-A + B + C = -(x^2 – 2x – y^2 + 3y – 1 ) + ( -2x^2 + 3y^2 – 5x + y + 3) + ( 3x^2 – 2xy + 7y^2 – 3x – 5y – 6 )\)

                \(= -x^2 + 2x + y^2 - 3y + 1 -2x^2 + 3y^2 – 5x + y + 3 + 3x^2 – 2xy + 7y^2 – 3x – 5y – 6 \)

                \(= -6x + 11y^2 -7y - 2 -2xy\)

                \(= -6x + 11y^2 - 7y -2xy -2\)
 

 

Bạn có biết?

Toán học là ngành nghiên cứu trừu tượng về những chủ đề như: lượng (các con số), cấu trúc, không gian, và sự thay đổi.Các nhà toán học và triết học có nhiều quan điểm khác nhau về định nghĩa và phạm vi của toán học

Nguồn : Wikipedia - Bách khoa toàn thư

Tâm sự Lớp 7

Lớp 7 - Năm thứ hai ở cấp trung học cơ sở, một cuồng quay mới lại đến vẫn bước tiếp trên đường đời học sinh. Học tập vẫn là nhiệm vụ chính!

Nguồn : ADMIN :))

Liên hệ hợp tác hoặc quảng cáo: gmail

Điều khoản dịch vụ

Copyright © 2021 HOCTAPSGK