Trang chủ Vật Lý Lớp 9 M choso da so oo much den R₁ Re Saul...

M choso da so oo much den R₁ Re Saul Thing to: R₁ = 12 ₁ R₂ = 15 (0) U₁ = 5V. a) romb shen dro tricy stitchy (Rypt = ?) 1) Tras cac city to don din ( I₁, I

Câu hỏi :

Cứu tui với

Sossssssssss

image

M choso da so oo much den R₁ Re Saul Thing to: R₁ = 12 ₁ R₂ = 15 (0) U₁ = 5V. a) romb shen dro tricy stitchy (Rypt = ?) 1) Tras cac city to don din ( I₁, I

Lời giải 1 :

`-` Tóm tắt

`@ R_1=12Omega`

`@ R_2=15Omega`

`@ U_2=5V`

`@ a) R_[tđ]=?`

`@ b) I_[12]=?   I_[AB]=?`

`@ c) U_1=?  U_[AB]=?`

`text[Giải:]`

`a)` Điện trở tương đương của đoạn mạch:

`R_[tđ]=R_1+R_2=12+15=27(Omega)`

`b)` Cường độ dòng điện qua `R_2` là:

`I_2=U_2/R_2=5/15=1/3(A)`

`I_2=I_1=I_[AB]=1/3A`

`c)` Hiệu điện thế giữa hai đầu mạch là:

`U=I_[AB] . R_[tđ]=1/3 . 27=9(V)`

      Hiệu điện thế giữa hai đầu `R_1`:

`U_1=I_1 . R_1=1/3 . 12=4(V)`

𝓢𝓶𝓪𝓻𝓽𝓛𝓸𝓿𝓮

     

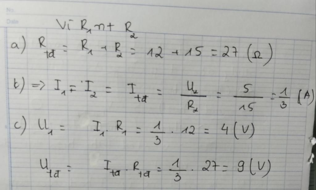
Lời giải 2 :

Đáp án: a) 27 ; b) 1/3 A; c) 4 V và 9V 

 

Giải thích các bước giải:

 

image

Bạn có biết?

Vật lý học là môn khoa học tự nhiên tập trung vào sự nghiên cứu vật chất và chuyển động của nó trong không gian và thời gian, cùng với những khái niệm liên quan như năng lượng và lực. Vật lý học là một trong những bộ môn khoa học lâu đời nhất, với mục đích tìm hiểu sự vận động của vũ trụ. Hãy khám phá và hiểu rõ những quy luật tự nhiên xung quanh chúng ta!

Nguồn :

Wikipedia - Bách khoa toàn thư

Tâm sự lớp 9

Lớp 9 - Là năm cuối ở cấp trung học cơ sở, chúng ta sắp phải bước vào một kỳ thi căng thẳng và sắp chia tay bạn bè, thầy cô. Áp lực từ kỳ vọng của phụ huynh và tương lai lên cấp 3 thật là lớn, nhưng hãy tin vào bản thân và giữ vững sự tự tin!

Nguồn :

sưu tập

Liên hệ hợp tác hoặc quảng cáo: gmail

Điều khoản dịch vụ

Copyright © 2021 HOCTAPSGK