Trang chủ Vật Lý Lớp 9 3. Hai bóng đèn có điện trở R = 3...

3. Hai bóng đèn có điện trở R = 3 Q và Rz = 6 2 được mắc nối tiếp với nhau. Khi đèn sáng bình thường thì cường độ dòng điện qua hai đèn là 1A. Mắc hai bóng

Câu hỏi :

giúp mình với!! nhanh nha mình đang cần gấp

image

3. Hai bóng đèn có điện trở R = 3 Q và Rz = 6 2 được mắc nối tiếp với nhau. Khi đèn sáng bình thường thì cường độ dòng điện qua hai đèn là 1A. Mắc hai bóng

Lời giải 1 :

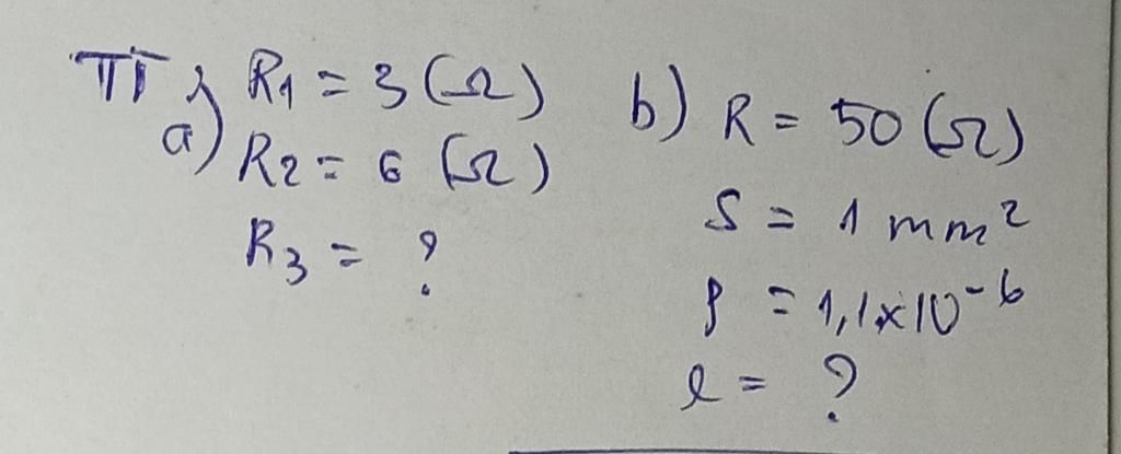
TÓM TẮT:

R1=3  ôm            R3=?

R2=6 ôm             l=?       

I=1A

U=24V

GIẢI

a) R1 nối tiếp R2 nối tiếp R3:

⇒ I= I1 = I2 =I3 = 1A

⇒R td = R1 + R2 +R3= U/I=24/1=24

⇒R3= 24 - R1- R2= 24-3-6= 15 ôm

b) R=p.l/S

l= R.S/p  = 50. 1.10-6/1,1.10-6≈45,455 m

 

Lời giải 2 :

tóm đề và câu b file ảnh nhaa

Đáp án:

a) R3 = 15 (Ω) 

b) l = 45,45 (m) 

 

Giải thích các bước giải:

a) Áp dụng công thức : 

     I = U÷R => R=U÷I = 24÷1 = 24 (Ω) 

     Rtđ = R1+R2+R3

=> R3 = Rtđ - (R1 + R2) 

        = 24 - (3+6) 

        = 15 (Ω) 

 b) Đổi : 1mm² = 10 mũ âm 6

     

 

image
image

Bạn có biết?

Vật lý học là môn khoa học tự nhiên tập trung vào sự nghiên cứu vật chất và chuyển động của nó trong không gian và thời gian, cùng với những khái niệm liên quan như năng lượng và lực. Vật lý học là một trong những bộ môn khoa học lâu đời nhất, với mục đích tìm hiểu sự vận động của vũ trụ. Hãy khám phá và hiểu rõ những quy luật tự nhiên xung quanh chúng ta!

Nguồn :

Wikipedia - Bách khoa toàn thư

Tâm sự lớp 9

Lớp 9 - Là năm cuối ở cấp trung học cơ sở, chúng ta sắp phải bước vào một kỳ thi căng thẳng và sắp chia tay bạn bè, thầy cô. Áp lực từ kỳ vọng của phụ huynh và tương lai lên cấp 3 thật là lớn, nhưng hãy tin vào bản thân và giữ vững sự tự tin!

Nguồn :

sưu tập

Liên hệ hợp tác hoặc quảng cáo: gmail

Điều khoản dịch vụ

Copyright © 2021 HOCTAPSGK