Trang chủ Vật Lý Lớp 9 Bài tập ôn tập : vẽ mạch diện gồm 1...

Bài tập ôn tập : vẽ mạch diện gồm 1 nguồn , 1K, 10í 1 điếu trở Cho 2 dien trä: R₁ = 5(2) trở Ampe ké chi 02 (A). 2 Rent R₂ i a tình điện trở tương đương. T

Câu hỏi :

giải nhanh giúp vs ạ

image

Bài tập ôn tập : vẽ mạch diện gồm 1 nguồn , 1K, 10í 1 điếu trở Cho 2 dien trä: R₁ = 5(2) trở Ampe ké chi 02 (A). 2 Rent R₂ i a tình điện trở tương đương. T

Lời giải 1 :

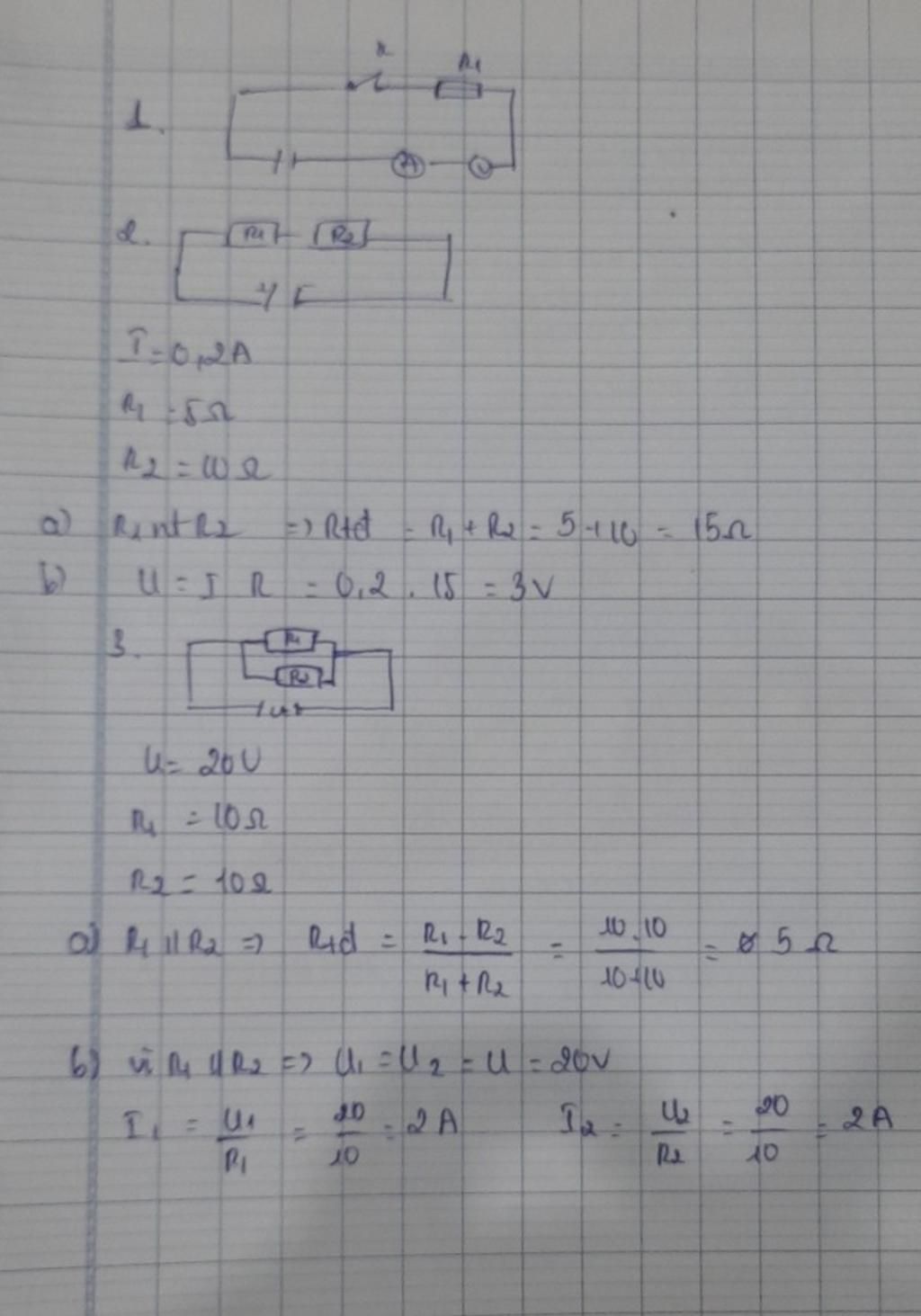
trong ảnh ạ

 

image

Bạn có biết?

Vật lý học là môn khoa học tự nhiên tập trung vào sự nghiên cứu vật chất và chuyển động của nó trong không gian và thời gian, cùng với những khái niệm liên quan như năng lượng và lực. Vật lý học là một trong những bộ môn khoa học lâu đời nhất, với mục đích tìm hiểu sự vận động của vũ trụ. Hãy khám phá và hiểu rõ những quy luật tự nhiên xung quanh chúng ta!

Nguồn :

Wikipedia - Bách khoa toàn thư

Tâm sự lớp 9

Lớp 9 - Là năm cuối ở cấp trung học cơ sở, chúng ta sắp phải bước vào một kỳ thi căng thẳng và sắp chia tay bạn bè, thầy cô. Áp lực từ kỳ vọng của phụ huynh và tương lai lên cấp 3 thật là lớn, nhưng hãy tin vào bản thân và giữ vững sự tự tin!

Nguồn :

sưu tập

Liên hệ hợp tác hoặc quảng cáo: gmail

Điều khoản dịch vụ

Copyright © 2021 HOCTAPSGK