Trang chủ Vật Lý Lớp 9 Bài tập ôn tập 1. : vẽ mạch diện gồm...

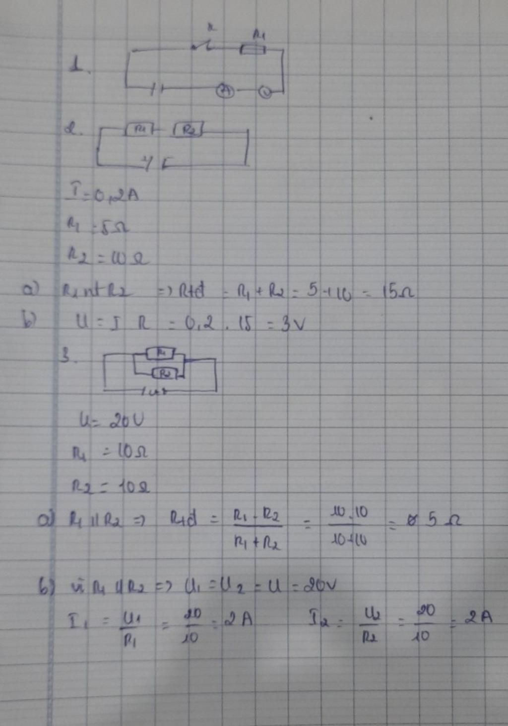
Bài tập ôn tập 1. : vẽ mạch diện gồm 1 nguồn 1K, i 10: 1 @ ; 1 dien fro 2 Rent Rai a tình điện trở Tình hết nguồn Cho & dien trä: R₁=5 (2) Ampe ke chi' 02

Câu hỏi :

giúp e nhanh vs ạ !!!!

image

Bài tập ôn tập 1. : vẽ mạch diện gồm 1 nguồn 1K, i 10: 1 @ ; 1 dien fro 2 Rent Rai a tình điện trở Tình hết nguồn Cho & dien trä: R₁=5 (2) Ampe ke chi' 02

Lời giải 1 :

Đáp án:

 

Giải thích các bước giải:

1.Hình bên dưới ạ

2. Tóm đề:

R1=5Ω

R2=10Ω

 I=0,2A

a) Điện trở tương đương là:

Ta có R1 nối tiếp R2

=> Rtđ=R1+R2

            =5+10 =15Ω

b) Hiệu điện thế của nguồn điện

Có U=I.Rtđ

        =0,2.15 =3V

3/ Có: 

R1=10Ω

R2=10Ω

U=20V

a) Điện trở tương đương là:

Có R1 // R2

=> Rtđ=R1.R2/R1+R2

            =10.10/10+10

            =5Ω

b) Vì R1 // R2

=> U = U1 = U2 = 20V

=> Cường độ dòng điện qua R1 là: `I_1` = U1/R1

                                                                 =20/10= 2A

=> Cường độ dòng điện qua R2 là: `I_2` = U2/R2

                                                                 =20/10=2A

image

Lời giải 2 :

ảnh nha bạn

 

image

Bạn có biết?

Vật lý học là môn khoa học tự nhiên tập trung vào sự nghiên cứu vật chất và chuyển động của nó trong không gian và thời gian, cùng với những khái niệm liên quan như năng lượng và lực. Vật lý học là một trong những bộ môn khoa học lâu đời nhất, với mục đích tìm hiểu sự vận động của vũ trụ. Hãy khám phá và hiểu rõ những quy luật tự nhiên xung quanh chúng ta!

Nguồn :

Wikipedia - Bách khoa toàn thư

Tâm sự lớp 9

Lớp 9 - Là năm cuối ở cấp trung học cơ sở, chúng ta sắp phải bước vào một kỳ thi căng thẳng và sắp chia tay bạn bè, thầy cô. Áp lực từ kỳ vọng của phụ huynh và tương lai lên cấp 3 thật là lớn, nhưng hãy tin vào bản thân và giữ vững sự tự tin!

Nguồn :

sưu tập

Liên hệ hợp tác hoặc quảng cáo: gmail

Điều khoản dịch vụ

Copyright © 2021 HOCTAPSGK