Trang chủ Toán Học Lớp 9 Bài 3. Thực hiện các phép tính sau: a) √(11...

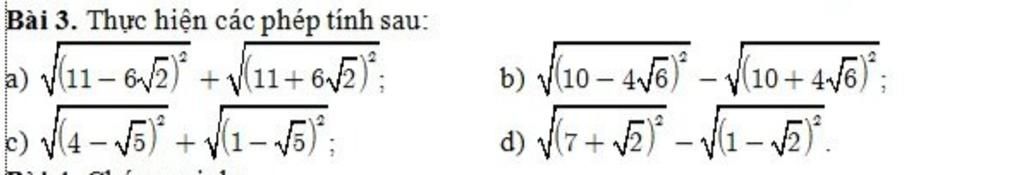
Bài 3. Thực hiện các phép tính sau: a) √(11 – 6√2)² + √ √(11+6√2)ª; - + 1- b) (10-46) d) 17+ √2) - (10+4√6)*; (1-√2)².

Câu hỏi :

giúp tớ với ạ ‼‼‼‼‼‼‼‼

image

Bài 3. Thực hiện các phép tính sau: a) √(11 – 6√2)² + √ √(11+6√2)ª; - + 1- b) (10-46) d) 17+ √2) - (10+4√6)*; (1-√2)².

Lời giải 1 :

Đáp án:

 

Giải thích các bước giải:

 ` a) `

` \sqrt{ ( 11 - 6\sqrt{ 2 } )^2 } + \sqrt{ ( 11 + 6\sqrt{ 2 } )^2 } `

` = | 11 - 6\sqrt{ 2 } | + | 11 + 6\sqrt{ 2 } | `

` = 11 -  6\sqrt{ 2 } + 11 + 6\sqrt{ 2 } `

` = 22 `

` b) `

` \sqrt{ ( 10 - 4\sqrt{ 6 } )^2 } - \sqrt{ ( 10 + 4\sqrt{ 6 } )^2 } `

` = | 10 - 4\sqrt{ 6 } | - | 10 + 4\sqrt{ 6 } | `

` = 10 - 4\sqrt{ 6 } - ( 10 + 4\sqrt{ 6 } `

` = 10 - 4\sqrt{ 6 } - 10 - 4\sqrt{ 6 } `

` = -8 \sqrt{ 6 } `

` c) `

` \sqrt{ ( 4 - \sqrt{ 5 } )^2 } + \sqrt{ ( 1 - \sqrt{ 5 } )^2 } `

` = | 4 - \sqrt{ 5 } | + | 1 - \sqrt{ 5 } | `

` = 4 - \sqrt{ 5 } + \sqrt{5 } - 1 `

` = 3 `

` d) `

` \sqrt{ ( 7 + \sqrt{ 2 } )^2 } - \sqrt{ ( 1 - \sqrt{ 2 } )^2 } `

` = | 7 + \sqrt{ 2 } | - | 1 - \sqrt{ 2 } | `

` = 7 + \sqrt{ 2 } - ( \sqrt{ 2 } - 1 ) `

` = 7 + \sqrt{ 2 } - \sqrt{ 2 } + 1 `

` = 8 `

Lời giải 2 :

Đáp án`+`Giải thích các bước giải:

` a)  \sqrt{ ( 11 - 6\sqrt{ 2 } )^2 } + \sqrt{ ( 11 + 6\sqrt{ 2 } )^2 } `

` = | 11 - 6\sqrt{ 2 } | + | 11 + 6\sqrt{ 2 } | `

` = 11 -  6\sqrt{ 2 } + 11 + 6\sqrt{ 2 } `

` = 22 `

_____________________

` b)  \sqrt{ ( 10 - 4\sqrt{ 6 } )^2 } - \sqrt{ ( 10 + 4\sqrt{ 6 } )^2 } `

` = | 10 - 4\sqrt{ 6 } | - | 10 + 4\sqrt{ 6 } | `

` = 10 - 4\sqrt{ 6 } - ( 10 + 4\sqrt{ 6 } `

` = 10 - 4\sqrt{ 6 } - 10 - 4\sqrt{ 6 } `

` = -8 \sqrt{ 6 } `

_____________________

` c)  \sqrt{ ( 4 - \sqrt{ 5 } )^2 } + \sqrt{ ( 1 - \sqrt{ 5 } )^2 } `

` = | 4 - \sqrt{ 5 } | + | 1 - \sqrt{ 5 } | `

` = 4 - \sqrt{ 5 } + \sqrt{5 } - 1 `

` = 3 `

__________________

` d)  \sqrt{ ( 7 + \sqrt{ 2 } )^2 } - \sqrt{ ( 1 - \sqrt{ 2 } )^2 } `

` = | 7 + \sqrt{ 2 } | - | 1 - \sqrt{ 2 } | `

` = 7 + \sqrt{ 2 } - ( \sqrt{ 2 } - 1 ) `

` = 7 + \sqrt{ 2 } - \sqrt{ 2 } + 1 `

` = 8 `

Bạn có biết?

Toán học là môn khoa học nghiên cứu về các số, cấu trúc, không gian và các phép biến đổi. Nói một cách khác, người ta cho rằng đó là môn học về "hình và số". Theo quan điểm chính thống, toán học là môn học nghiên cứu về các cấu trúc trừu tượng định nghĩa từ các tiên đề, bằng cách sử dụng luận lý học (lôgic) và ký hiệu toán học. Do khả năng ứng dụng rộng rãi trong nhiều khoa học, toán học được mệnh danh là "ngôn ngữ của vũ trụ". Hãy kiên trì và không ngừng nỗ lực trong việc chinh phục những con số và công thức này!

Nguồn :

Wikipedia - Bách khoa toàn thư

Tâm sự lớp 9

Lớp 9 - Là năm cuối ở cấp trung học cơ sở, chúng ta sắp phải bước vào một kỳ thi căng thẳng và sắp chia tay bạn bè, thầy cô. Áp lực từ kỳ vọng của phụ huynh và tương lai lên cấp 3 thật là lớn, nhưng hãy tin vào bản thân và giữ vững sự tự tin!

Nguồn :

sưu tập

Liên hệ hợp tác hoặc quảng cáo: gmail

Điều khoản dịch vụ

Copyright © 2021 HOCTAPSGK